加载中...
韩国女团gidle成员田小娟dazed个性大片

韩国女团gidle成员田小娟dazed个性大片

图片尺寸 960x1252
上传时间 2026-03-12 22:56:26

图片链接

缩略图
原图
外链

相关图片

(g)i-dle 230508 第五波宣传概念照 迷你六辑《i feel》

(g)i-dle 230508 第五波宣传概念照 迷你六辑《i feel》

gidle2023台历造型

gidle2023台历造型

(g)i-dle 240324 fate minnie横版直拍|直拍|minnie_新浪新闻

(g)i-dle 240324 fate minnie横版直拍|直拍|minnie_新浪新闻

(g)i-dle宋雨琦-queencard直拍一键换装

(g)i-dle宋雨琦-queencard直拍一键换装

nodress成(g)i-dle回归团服.(g)i-dle在 - 抖音

nodress成(g)i-dle回归团服.(g)i-dle在 - 抖音

【4k】【(g)i-dle】雨琦"queencard"竖屏直拍|230602

【4k】【(g)i-dle】雨琦"queencard"竖屏直拍|230602

gidle六进五

gidle六进五

(g)i-dle淋冰雹暴雨继续唱"舒华当众惨摔"!离谱影片外洩,网怒

(g)i-dle淋冰雹暴雨继续唱"舒华当众惨摔"!离谱影片外洩,网怒

(g)i_dle 徐穗珍周边小卡100张不同样3寸lomo写真照片拍立得 50张lomo

(g)i_dle 徐穗珍周边小卡100张不同样3寸lomo写真照片拍立得 50张lomo

(g)i-dle第六张迷你专辑"i feel"新一轮成员预告照释出

(g)i-dle第六张迷你专辑"i feel"新一轮成员预告照释出

随机推荐

写实风格真人转手绘微信头像

写实风格真人转手绘微信头像

香港山顶!

香港山顶!

倒追,结婚39年零绯闻,去世以后藏品都捐给国家|古董|王朔_网易订阅

倒追,结婚39年零绯闻,去世以后藏品都捐给国家|古董|王朔_网易订阅

疯狂架子鼓#【椰壳鼓手网】分享锦零 恋爱画板鼓谱架子鼓鼓谱高清

疯狂架子鼓#【椰壳鼓手网】分享锦零 恋爱画板鼓谱架子鼓鼓谱高清

sy

sy

英国公布的圆明园被毁前照片犹如仙境引世界关注

英国公布的圆明园被毁前照片犹如仙境引世界关注

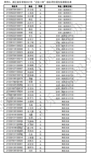
浙江音乐学院2021年三位一体综合评价招生分数线及录取名单

浙江音乐学院2021年三位一体综合评价招生分数线及录取名单

背影

背影

苹果ios12官方桌面壁纸图片

苹果ios12官方桌面壁纸图片

绿色的松树叶子微距拍摄-巴塞罗那

绿色的松树叶子微距拍摄-巴塞罗那