首页 / 可怜兮兮 动物 / 图片详情
加载中...
萌宠gif喵星人gif可怜兮兮gif小委屈gif呆萌gif憨憨gif

萌宠gif喵星人gif可怜兮兮gif小委屈gif呆萌gif憨憨gif

图片尺寸 690x690
上传时间 2026-03-21 21:26:04

图片链接

缩略图
原图
外链

相关图片

无助图片

无助图片

十大可怜的狗狗

十大可怜的狗狗

委屈猫卖萌可怜相走红 全球身价千万的宠物

委屈猫卖萌可怜相走红 全球身价千万的宠物

金毛掉进了泥坑里,全身脏兮兮的,虽然可怜但看它的表情太好笑!

金毛掉进了泥坑里,全身脏兮兮的,虽然可怜但看它的表情太好笑!

被遗弃的小奶狗可怜兮兮在土堆里觅食满脸哀求渴望食物我好饿

被遗弃的小奶狗可怜兮兮在土堆里觅食满脸哀求渴望食物我好饿

流浪小猫孤苦无依,可怜兮兮地抱着来人的鞋:带我回家吧

流浪小猫孤苦无依,可怜兮兮地抱着来人的鞋:带我回家吧

委屈猫走红 天生一副可怜像(12)

委屈猫走红 天生一副可怜像(12)

委屈表情包委屈巴巴可怜兮兮表情

委屈表情包委屈巴巴可怜兮兮表情

求一些可怜兮兮的动物头像

求一些可怜兮兮的动物头像

忧伤眼神惹人怜爱 "世界最可怜猫"走红

忧伤眼神惹人怜爱 "世界最可怜猫"走红

随机推荐

的招聘文案合集 绝对让你眼前一亮98 希望对各位hr朋友有用6015

的招聘文案合集 绝对让你眼前一亮98 希望对各位hr朋友有用6015

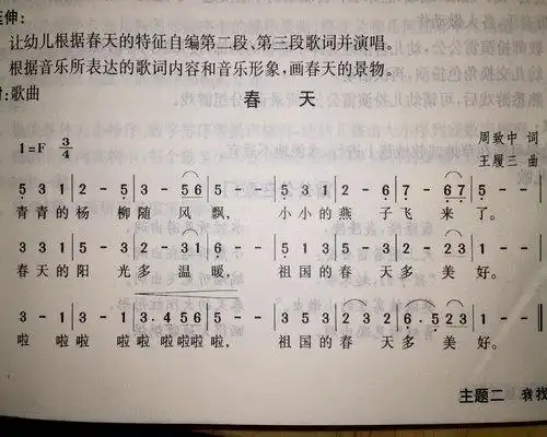
歌曲春天

歌曲春天

十二星座专属的梦幻城堡,巨蟹的少女心十足,天蝎的如仙境一般!

十二星座专属的梦幻城堡,巨蟹的少女心十足,天蝎的如仙境一般!

古风q版卡通少年人物原创插画元素古风q版元素古代人物古风q版卡通

古风q版卡通少年人物原创插画元素古风q版元素古代人物古风q版卡通

心累的时候换个角度看世界…#走心文案 #生活感悟 #致自己 - 抖音

心累的时候换个角度看世界…#走心文案 #生活感悟 #致自己 - 抖音

duangduang的还有这看起来就很有弹性的小肚腩让我来捏一下吧,求求了!

duangduang的还有这看起来就很有弹性的小肚腩让我来捏一下吧,求求了!

tvb女星无惧43岁高龄怀孕6个月挺大肚劈叉轻松倒立一字马

tvb女星无惧43岁高龄怀孕6个月挺大肚劈叉轻松倒立一字马

古风三顾茅庐

古风三顾茅庐

张铭恩 梁山

张铭恩 梁山

青海昆仑玉 求鉴别 值多少

青海昆仑玉 求鉴别 值多少