加载中...
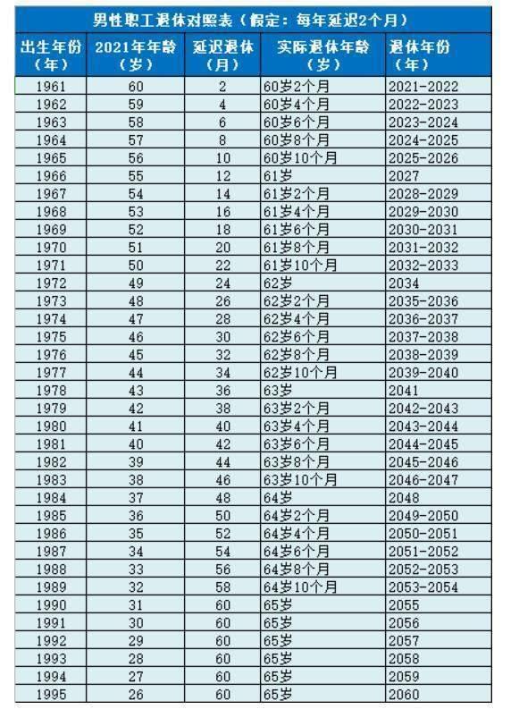
"延迟退休"已成定局,70,80后成为幸运儿,90后:吃亏了

"延迟退休"已成定局,70,80后成为幸运儿,90后:吃亏了

图片尺寸 581x812
上传时间 2026-03-18 02:06:23

图片链接

缩略图
原图
外链

相关图片

出生年与年龄换算表

出生年与年龄换算表

1979年出生的人今年多少年龄 1979年周岁多少岁 - 时代开运网

1979年出生的人今年多少年龄 1979年周岁多少岁 - 时代开运网

属牛的今年多大年龄了1975年,属牛的今年多大了?

属牛的今年多大年龄了1975年,属牛的今年多大了?

属牛的今年分别都是多大岁数,属牛今年多大岁

属牛的今年分别都是多大岁数,属牛今年多大岁

7179年羊是什么命79年羊是什么命

7179年羊是什么命79年羊是什么命

85年属牛属相婚配表

85年属牛属相婚配表

1970年到现在多大了,1970年出生属狗的今年多大

1970年到现在多大了,1970年出生属狗的今年多大

1980男1974女婚配女1980年10月与男1974年2月出生的

1980男1974女婚配女1980年10月与男1974年2月出生的

1979年属羊人的婚姻与命运,属羊人43岁过七劫

1979年属羊人的婚姻与命运,属羊人43岁过七劫

属什么的年虚岁29岁是年生人属马 年虚岁29岁是年生人属羊 请问年龄42

属什么的年虚岁29岁是年生人属马 年虚岁29岁是年生人属羊 请问年龄42

随机推荐

手撕溺水急救误区教您正确急救方法

手撕溺水急救误区教您正确急救方法

张惠妹脚踩恨天高双腿粗壮 自信甩发回眸气场足

张惠妹脚踩恨天高双腿粗壮 自信甩发回眸气场足

陷阱吉他谱c调吉他弹唱谱扫弦版

陷阱吉他谱c调吉他弹唱谱扫弦版

【二次元情侣头像】 炒鸡好看呀我炒鸡喜欢 但是无奈我没有人可以跟我

【二次元情侣头像】 炒鸡好看呀我炒鸡喜欢 但是无奈我没有人可以跟我

酒吧dj打碟

酒吧dj打碟

郑爽《青春斗》有一颗不服输的心,你才能拥有想要的未来

郑爽《青春斗》有一颗不服输的心,你才能拥有想要的未来

那些惊艳你的杨颖稀有头像96 绝美的杨颖头像

那些惊艳你的杨颖稀有头像96 绝美的杨颖头像

旺角卡门 张曼玉 刘德华

旺角卡门 张曼玉 刘德华

iphone7chargingflex尾插充电口

iphone7chargingflex尾插充电口

杨颖和宋轶,不仅同龄,而且官方身高都是168cm,为什么看起来杨颖高很多

杨颖和宋轶,不仅同龄,而且官方身高都是168cm,为什么看起来杨颖高很多